Úspora za vykurovanie 2023

Koľko naozaj ušetríte za vykurovanie vďaka dobrému zatepleniu?

Koľko sa dá ušetriť vďaka zatepleniu?

Na zateplenie je vždy nutné vypracovať projektový návrh v súlade s platnými a záväznými predpismi. Na overenie splnenia týchto predpisov je nutné návrh overiť tepelne technickým výpočtom a jednotlivé detaily je nutné presne a jednoznačne navrhnúť v súlade so zásadami stavebnej fyziky a technologickými predpismi pre aplikáciu daného typu zateplenia.

„V názornej ukážke je vysvetlené, koľko nákladov je ročne nutné vynaložiť na vykurovanie, ako na to vplýva voľba rôznych hrúbok zateplenia v jednotlivých konštrukciách či teplota, na ktorú budeme interiér vykurovať, prípadne kvalita zasklenia.“

Hodnoty v našom príklade sú vypočítané pre rodinný dom. Pôvodne sa tu jednalo o návrh kúrenia pre jednu časť dvojdomu, ale aj pre tento návrh je nutné vykonať vždy výpočet tepelných strát jednotlivých miestností. Vhodným návrhom vykurovacieho telesa je možné tieto tepelné straty kompenzovať tak, aby vykurovacie teleso mohlo v miestnosti neustále udržovať teplotu, ktorú v danej miestnosti chceme mať.

Aby mal výpočet aj porovnávaciu hodnotu, sú jednotlivé varianty uvedené v postupnosti podľa hrúbky zateplenia, ktoré sa dnes používajú pri novostavbách (nutné podotknúť, že nie vždy správne), vrátane ich dopadu na celkovú spotrebu paliva na vykurovanie a zároveň aj porovnanie v aktuálnych cenách zemného plynu, ktoré boli na začiatku roka 2023.

Náklady na vykurovanie najviac stúpajú s teplotou, na ktorú vykurujeme vnútorný priestor (rastie rozdiel teploty v interiéri a exteriéri), a vplyvom tepelných strát obvodovými konštrukciami, vrátane netesností výplní otvorov. Preto sa nasledujúce varianty líšia práve v týchto aspektoch a porovnáva sa ich celkový vplyv, kedy sa mení teplota, na ktorú vykurujeme, hrúbka tepelnej izolácie či kvalita výplne otvorov.

Pre vlastný výpočet bola hodnotená len ľavá časť nepodpivničeného dvojpodlažného dvojdomu (pravá sa vďaka obdobnej dispozícii veľmi nelíši). Vo výpočte sa uvažovalo s dnes bežne používanými materiálmi pre murivo, strechu, podlahu, okná, dvere atď. (z čisto porovnateľného hľadiska nehrajú tieto materiály až takú veľkú úlohu, vzhľadom na fakt, že rozdiel v jednotlivých variantoch je vždy len v hrúbke tepelnej izolácie, ostatná skladba zostáva stále rovnaká).

Pre prvé tri varianty boli zvolené len nárasty hrúbky tepelnej izolácie v skladbe strechy a fasády, variant štvrtý a piaty sú modifikáciami variantu tretieho s tým rozdielom, že vo 4. variante porovnávame možnosť zmeny teploty, na ktorú vykurujeme jednotlivé miestnosti oproti bežne navrhovaným o -2°C a v piatom variante o +2°C.

V poslednom, šiestom variante, sa volia minimálne tepelné straty vplyvom infiltrácie okien či dverí (predpokladá sa použitie neotváravých okien a vetranie vzduchotechnikou obdobne ako je to pri pasívnych domoch), rovnako tak aj použitie kvalitnejších typov rámov a skiel z hľadiska tepelnoizolačných vlastností, tak isto je tu použité aj lepšie zaizolovanie podlahy. Čo sa týka vlastností tepelnej izolácie, boli do hodnotenia použité materiály spoločnosti Saint-Gobain ISOVER SK s.r.o., ktoré majú veľmi dobré izolačné vlastnosti.

V konkrétnom prípade išlo o tieto produkty:

 

  • ISOVER EPS 70F (λD=0,038 W/(m·K) na zateplenie fasády
  • ISOVER Uni (λD=0,035 W/(m·K) na zateplenie šikmej strechy
  • ISOVER T-N (λD=0,036 W/(m·K) na zateplenie podlahy
Voľba jednotlivých variant

Variant

1

2

3

4

5

6

Návrhová teplota v interiéri

20°C

20°C

20°C

18°C

22°C

20°C

Kvalita výplne otvorov

U =1,2

[W/(m2.K)]

U =1,2

[W/(m2.K)]

U =1,2

[W/(m2.K)]

U =1,2

[W/(m2.K)]

U =1,2

W/(m2.K)]

U =1,0

[W/(m2.K)]

Zateplenie strechy

100 mm

200 mm

400 mm

400 mm

400 mm

400 mm

Zateplenie fasády

0 mm

100 mm

200 mm

200 mm

200 mm

200 mm

Zateplenie podlahy

50 mm

50 mm

50 mm

50 mm

50 mm

50 mm

Odborné poradenstvo a kalkulácia

Skôr ako sa pustíte do práce, odporúčame kontaktovať našich špecialistov. 

 Kontaktovať odborníkov 

Vlastné výpočty zohľadňovali návrh vykurovacej sústavy, a preto sa riešila celková tepelná strata každej miestnosti samostatne a do celkových tepelných strát budovy sa následne započítala tepelná strata (popr. zisky) všetkých miestností ako celku.

„Častejšie sa tepelné straty počítajú tzv. obálkovou metódou, čo je rýchlejší a jednoduchší variant (hodnotí dom ako jednu veľkú miestnosť), ale celkový výsledok by mal byť obdobný.“

Je ale nutné podotknúť, že vďaka riešeniu stavby, ako v prípade nášho dvojdomu, sú celkové tepelné straty vplyvom jednej spoločnej steny vždy o cca 20 % menšie v porovnaní so samostatne stojacim domom.

Výsledky výpočtov

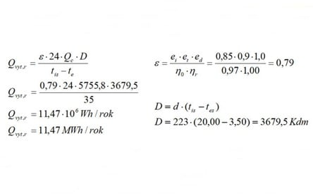
Z celkových tepelných strát riešenej časti dvojdomu sa zistí - prepočtom na vykurovacie obdobie počas celého roka - hodnota nutnej dodávky energie na pokrytie týchto tepelných strát. Z týchto údajov potom jednoduchým prenásobením ceny (v našom prípade zemného plynu) zistíme ročné náklady na vykurovanie.

Hodnoty v tab. aktualizované v 2/2023 podľa tarify D2.

Variant

1

2

3

4

5

6

Celková tepelná strata

7376,4 W

6210,1 W

5755,8 W

5422,3 W

6110,8 W

2935,1 W

Ročný odber plynu

14,70

MWh/rok

12,38

MWh/rok

11,47

MWh/rok

10,07

MWh/rok

12,92

MWh/rok

5,85

MWh/rok

Cena plynu za €/MWh tarify D2

+

Fixná ročná sadzba tarify D2

51,91 €

+

100,32 €

51,91 €

+

100,32 €

51,91 €

+

100,32 €

51,91 €

+

100,32 €

51,91 €

+

100,32 €

51,91 €

+

100,32 €

Ročné náklady na vykurovanie

863,40

742,97

695,73

623,05

771,00 €

403,99

Porovnanie celkových nákladov

100 %

86,1 %

80,6 %

72,2 %

89,3 %

46,8 %

 

Nielen zateplenie fasády a strechy, ale aj výplne otvorov a zateplenie podlahy v mieste styku s okolitým terénom významne ovplyvňujú celkové tepelné straty budovy. Rozdiel medzi variantmi 3 a 6 je však už výrazný.

Zateplením pri 2. variante ušetríme až 13,9 % nákladov za vykurovanie a zateplením pri 3. variante až 19,4 % oproti 1. variante. Keď si tieto náklady spočítame za 10 či 20 rokov, táto úspora môže byť veľmi významná. V tomto prípade je úspora za 20 rokov viac ako 3 353 €, pri zachovaní cien energií. Pri zvýšení cien táto hodnota bude ešte výraznejšia, preto je dôležité už dnes zatepľovať dostatočne.

Rozdiel vo variante 4 (o -2 ° C) či vo variante 5 (o +2 ° C) je v súčte 17,1 %, čo určite tiež nie je zanedbateľné a stojí za zamyslenie, či naozaj vykurujeme obytné miestnosti na navrhovaných 20 ° C, no často to je v realite až na 24 °C. Náklady na vykurovanie potom logicky výrazne rastú, aj keď máme relatívne dobre zaizolovanú stavbu.

Autor článku

Ing. Karel Sedláček, Ph.D.
Vyštudoval ČVUT v Prahe, je členom komory ČKAIT. Je znalcom v odbore zatepľovania, teraz sa špecializuje na konštrukcie vetraných fasád a šikmých striech.

https://www.isover.cz/blog/uspora-za-vytapeni-v-cislech
Hodnoty a cenníkové ceny boli zadané pre slovenský trh centrom technickej a obchodnej podpory (COP) Saint-Gobain Slovensko.

Porovnajte vlastnosti vami vybraných produktov.